
가끔 이런 궁금증을 가져봅니다. 빛과 전기 뭐가더 빠를까?
이러한 궁금증에 대한 답을 과학은 다음과 같이 답하고 있습니다.(참고: 전기와 전기신호는 다른 개념이지만 일반사람들은 전기신호와 전기를 같은 개념으로 이해하고 있는 경우가 많아 전기라고 표현했습니다. 이 페이지에서 전기라 함은 전기신호라고 하는것이 정확한 표현일 것입니다.)
"과학적으로 증명된 결과에 따르면 전기 신호와 빛의 속도가 같다"는 결론이 나옵니다. 이는 전자기파 방정식과 물리적 원리를 통해 증명할 수 있습니다. 빛과 전기신호 둘의 속도가 같은 이유는 빛과 전기신호 모두 전자기파의 형태로 전파되기 때문입니다.
전자기파는 전기장과 자기장의 상호작용에 의해 생성되는데 이 두가지 장은 서로 교차하며 공간을 통해 퍼져 나갑니다.
이는 파동으로 진행 하는며 전파속도는 진공에서 상수로 유지 됩니다. 결국 전기 신호와 빛은 이 원리를 공유하므로 전기신호와 빛의 속도는 거의 유사하게 나타나기 때문입니다. 이러한 궁금증을 해결해 보기위해 이번 페이지에서는 빛과 전기 신호의 속도가 같은 이유를 알아보겠습니다.
전자기파의 본질
- 빛과 전기 신호는 모두 전자기파입니다. 전자기파는 전기장과 자기장이 서로 영향을 미쳐 공간을 통해 퍼져나가는 파동입니다.
- 전자기파는 전기장과 자기장이 직각 방향으로 상호작용하면서 이동합니다.
- 전자기파는 진공에서도 전파 되는데 즉 공기,물과 같은 매질이 없어도 이동할 수 있습니다.
- 전자기파는 전기장과 자기장의 상호작용에 의해 생성되는 파동으로, 진공이나 매질을 통해 빛의 속도로 전파됩니다. 이는 다양한 파장과 주파수 대역에서 존재하며, 빛, 전파, X선 등으로 관찰됩니다. 맥스웰 방정식은 전자기파의 생성과 전파를 정확히 설명하며, 이는 전자기학과 현대 기술의 기반이 됩니다.
전자기파 전파 속도 유도
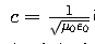
전자기파의 전파 속도는 맥스웰 방정식(Maxwell's Equations)을 통해 알 수 있습니다. 맥스웰 방정식은 전기장 E와 자기장 B의 상호작용을 설명하는 네 개의 기본 방정식입니다. 전자기파의 전파 속도 c는 다음과 같은 공식으로 표현됩니다

여기서
- c는 전자기파의 전파 속도 (빛의 속도),
- μ0는 진공의 투자율 (Permeability of free space), 그 값은 약 4π×10 ^ −7 H/m (헨리/미터),
- ϵ0는 진공의 유전율 (Permittivity of free space), 그 값은 약 8.854×10 ^ −12 F/m(패럿/미터)입니다.
용어 설명
투자율 : 자기장이 매질 속에서 형성될 때 매질이 자기장에 얼마나 영향을 받는지 나타내는 값
유전율: 매질이 전기장을 저지하거나 축적하는 정도를 나타내는 값
빛의 속도와 전기 신호의 속도
전자기파의 전파 속도 c가 이와 같이 정의되는 이유는, 전기장과 자기장이 서로 영향을 미쳐서 파동 형태로 전파되기 때문입니다. 이 속도는 진공에서 약 3×10 ^ 8 m/s 로, 이는 빛의 속도와 동일합니다. 따라서 전기 신호의 전파 속도도 이 값과 같습니다.
전기 신호와 빛의 속도가 같은 이유
따라서 전기 신호가 전파되는 속도와 빛의 속도가 같은 이유는, 전기 신호가 전자기파로 전파되며, 이 전자기파가 진공에서

라는 같은 속도로 이동하기 때문입니다. 이 공식에 의해 전파 속도 c가 고유하게 결정되며, 빛과 전기 신호가 동일한 속도를 가지게 됩니다.
여기까지 과학적 설명 대로라면 빛과 전기신호는 속도가 같다 라는 결론이 나옵니다.
그렇다면 좀더 흥미로운 질문을 가져보도록 하겠습니다.
1.빛이 지구를 한바퀴 도는데 걸리는 시간은?

2.전파가 지구를 한바퀴 도는데 걸리는 시간은?

그렇다면 전지와 스위치로 연결된 전구가 있고 이 전선이 지구를 한바퀴 돌아 스위치에 연결 되어 있습니다.
만약 스위치를 켰을 때 전구에 불이 들어오는 시간은?



즉 전구에 불이 켜지는데 걸리는 시간은 약 0.2초 입니다. 빛과 전자기파가 지구를 한바퀴 도는데 걸리는 시간보다 아주 약간 느린데 위에서 언급했듯이 매질의 유전율과 자기 투자율에 의해 아주 약간 느려지기 때문입니다.
전구에 불이 켜지는 시간 실험에서 알 수 있는것은 전자는 느리게 이동하지만 전자기파(에너지와 신호)는 빛의 속도와 거의 같은 속도로 이동한다는 것이고 전자의 이동속도는 전구가 켜지는 시간에 영향을 주지 않는다는 것입니다. 즉 전구는 전자기파가 전구에 도달할 때 켜지게 된다는 것입니다.
이번 편에서는 빛과 전기신호 중 무엇이 더 빠른가에 대한 궁금증을 풀어 보았습니다.
궁금증을 해결하는데 도움이 되었으면 합니다.
흥미로운 다른글 읽어보기
아인슈타인의 특수 상대성 이론 공식에 대한 간단한 해석
아인슈타인의 특수 상대성 이론 공식에 대한 간단한 해석
상대성 이론은 크게 두가지로 나뉘는데 1905년에 발표한 특수 상대성 이론과 1915년 발표한 일반 상대성 이론으로 나뉩니다. 이번편에서는 아인슈타인의 특수 상대성 이론을 공식을 바탕으로 그
cocori.tistory.com
하늘이 파란이유는 무엇일까? 레이리 산란법칙
구름한점 없는 파란 하늘은 너무 매력적이고 아름답습니다. 그러다 새하얀 구름 한 웅큼 지나갈 때면 더욱 더 매혹적인 하늘을 볼 수 있는데요 그렇다면 왜 하늘은 파란 것일까? 궁금해 집니다.
cocori.tistory.com
'바로응용상식과지식' 카테고리의 다른 글
| 스마트폰 배터리 절약 방법: 경험으로 알아보는 7가지 방법 (1) | 2024.12.31 |
|---|---|
| 해외 여행 시 꼭 알아두어야 할 영어 회화 (4) | 2024.12.30 |
| 간단하게 만들 수 있는 아이들 간식 만드는 법 20가지 (2) | 2024.12.20 |
| 작업 효율을 높여주는 윈도우 빠른 캡쳐 및 화면 스니핑(Snipping Tool) 기능 활용하는 방법 (4) | 2024.12.18 |
| 컴퓨터에 프린터 연결 및 설치 하는법 와이파이 무선연결과 usb 케이블 직접연결 (2) | 2024.12.16 |