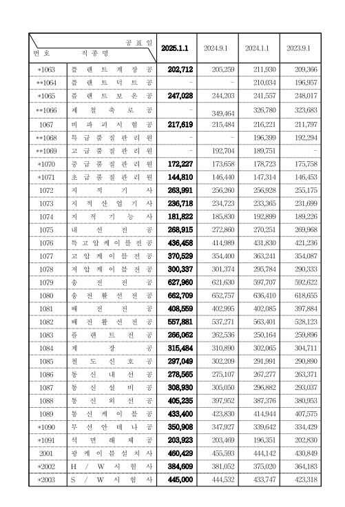
2025년 상반기 시중노임단가에 대해 알아보고 표와 다운로드도 제공합니다.
시중노임단가는 특정 지역이나 업종에서 노동자가 받을 수 있는 평균적인 임금 수준을 나타내는 지표입니다. 이는 주로 건설업이나 제조업에서 사용되며, 공공 및 민간 사업에서 인건비 산출의 기준으로 활용됩니다.
주요 특징:
노동비용 산정 기준: 공사, 용역, 제조 등 다양한 작업에서 노동력 비용을 산정할 때 기준으로 사용됩니다.
지역별·직종별 차이: 지역이나 직종에 따라 시중노임단가가 다를 수 있습니다. 대도시일수록 노임단가가 높고, 숙련도가 필요한 직종일수록 단가가 높아지는 경향이 있습니다.
공공 입찰 기준: 정부나 공공기관이 발주하는 공사에서 적정한 예산을 책정하기 위해 참고자료로 활용됩니다.
사용 예:
건설업: 건축 공사에서 목수, 철근공, 배관공 등 다양한 직종의 인건비를 계산할 때 사용.
계약 시 기준: 하도급 계약이나 용역 계약 시 공정한 계약 조건을 설정하기 위한 참고 자료로 사용.
노동자 권익 보호: 노동자가 정당한 임금을 받을 수 있도록 보장하는 데 도움.




2025년 상반기 시중노임단가 PDF 원본 다운로드 <- 클릭 다운로드
이상 2025년 상반기 시중노임과 시중노임표에 대해서 알아보았습니다.
활용하는데 도움이 되길 바랍니다.
관련된 다른글 읽어보기
2025년 조달청고시 공사원가 제비율표 (건축,토목,조경,산업환경설비,국가유산수리) 다운로드 제공
2025년 조달청고시 공사원가 제비율표 (건축,토목,조경,산업환경설비,국가유산수리) 다운로드 제
조달청 공사 원가 제비율표란 대한민국 조달청에서 발행하는 건설공사 원가계산의 기준표로, 공사비 산정 시 재료비, 노무비, 경비 등 원가를 구성하는 주요 항목별 비율을 제시한 자료입니다.
cocori.tistory.com
2025년 건설공사 표준품셈 다운로드 제공
건설공사 표준품셈은 건설공사에서 특정 작업(공정)을 수행하기 위해 필요한 노무, 자재, 장비의 투입 기준을 정리한 자료입니다. 이는 국가에서 건설공사비 산정의 합리성과 일관성을 확보하
cocori.tistory.com
2025년 정보통신공사 표준품셈 다운로드 제공
정보통신공사 표준품셈은 정보통신공사에서 필요한 노무, 자재, 장비 투입량을 기준화하여 공사비를 산정할 수 있도록 정리한 자료입니다. 정보통신 분야는 건축물 내외의 통신, 네트워크, 전
cocori.tistory.com
2025년 조달청 입찰내역작성프로그램V8 다운로드 방법
2025년 조달청 입찰내역작성프로그램V8 다운로드 방법
조달청 나라장터가 차세대 나라장터로 새롭게 개편하여 2025년 1월 25일 문을 열었습니다. 2002년 구축된 나라장터는 22년 만에 새로운 공공조달 플랫폼으로 개편되었는데요 최신 디지털 기술을 적
cocori.tistory.com
'주식경제연구' 카테고리의 다른 글
| 2025년 정보통신공사 표준품셈 다운로드 제공 (0) | 2025.01.21 |
|---|---|
| 2025년 건설공사 표준품셈 다운로드 제공 (0) | 2025.01.20 |
| 2025년 조달청고시 공사원가 제비율표 (건축,토목,조경,산업환경설비,국가유산수리) 다운로드 제공 (1) | 2025.01.16 |
| Plug Power와 수소 에너지 미래 성장과 도전 (3) | 2025.01.07 |
| SOXL ETF 투자 참고 활용 자료와 투자 가치 분석 기본 방법 (1) | 2025.01.04 |